使用PyTorch进行数学运算
1、定义张量。
import torch
x = torch.zeros((3, 2))
y = torch.ones((3, 2))
z = torch.rand((3, 2))
print(x)
print(y)
print(z)输出结果
tensor([[0., 0.],
[0., 0.],
[0., 0.]])
tensor([[1., 1.],
[1., 1.],
[1., 1.]])
tensor([[0.9255, 0.9734],
[0.3468, 0.9825],
[0.3859, 0.7481]])2、访问张量。
import torch
a = torch.rand((5, 3))
print(a) # 全部
print(a[0]) # 第1行
print(a[0][2]) # 第1行第3列
print(a[1, 2]) # 第2行第3列
print(a[:2]) # 前3行
print(a[:, 1]) # 第2列输出结果
tensor([[0.9835, 0.6304, 0.3341],
[0.1006, 0.8246, 0.2030],
[0.7149, 0.7477, 0.7167],
[0.7997, 0.5218, 0.9917],
[0.9539, 0.2919, 0.0582]])
tensor([0.9835, 0.6304, 0.3341])
tensor(0.3341)
tensor(0.2030)
tensor([[0.9835, 0.6304, 0.3341],
[0.1006, 0.8246, 0.2030]])
tensor([0.6304, 0.8246, 0.7477, 0.5218, 0.2919])3、加减乘除运算、矩阵的乘法和逆运算。
import torch
x = torch.ones((2, 2)) * 2
y = torch.ones((2, 2))
a = x.add(y) # x + y
b = x.sub(y) # x - y
c = x.mul(y) # x * y,按元素乘法
d = x.div(y) # x / y
e = x.mm(y) # 矩阵乘法
f = x.t() # 矩阵的逆
print(a)
print(b)
print(c)
print(d)
print(e)
print(f)
输出结果
tensor([[3., 3.],
[3., 3.]])
tensor([[1., 1.],
[1., 1.]])
tensor([[2., 2.],
[2., 2.]])
tensor([[2., 2.],
[2., 2.]])
tensor([[4., 4.],
[4., 4.]])
tensor([[2., 2.],
[2., 2.]]){{info}}
注意:上述运算也可用+=*/表示。使用x.add、x.sub、x.mul、x.div时不会改变x的值,使用x._add、x._sub、x._mul、x._div会改变x的值。
{{/info}}
4、ndarray和tensor之间的转换。
import torch
import numpy as np
x_tensor = torch.randn(2, 3)
y_numpy = np.random.randn(2, 3)
x_numpy = x_tensor.numpy()
y_tensor = torch.from_numpy(y_numpy)
z_tensor = torch.FloatTensor(y_numpy)
print(x_numpy)
print(y_tensor)
print(z_tensor)
输出结果
[[-1.2588831 0.57915723 -1.0662982 ]
[-0.0852809 0.13274558 0.19468519]]
tensor([[ 1.4440, 2.3114, 0.6984],
[ 0.3031, -0.2362, 0.9197]], dtype=torch.float64)
tensor([[ 1.4440, 2.3114, 0.6984],
[ 0.3031, -0.2362, 0.9197]]){{info}}
注意:rand是创建均匀分布的随机张量或矩阵,randn是创建正态分布的随机张量或矩阵。
{{/info}}
5、GPU上的张量运算。
import torch
x = torch.rand(2, 3)
y = torch.randn(2, 3)
cuda = torch.cuda.is_available()
print("cuda available: %s" % cuda)
a = x.cuda()
b = y.cuda()
c = a + b
print(c)
a = a.cpu()
b = b.cpu()
c = a + b
print(c)输出结果
cuda available: True
tensor([[ 0.5795, 0.7328, 1.2017],
[ 1.3393, 0.9051, -0.1900]], device='cuda:0')
tensor([[ 0.5795, 0.7328, 1.2017],
[ 1.3393, 0.9051, -0.1900]])6、动态计算图。
import torch
x = torch.ones(2, 2, requires_grad=True)
print(x.data)
y = x + 2
print(y.data)
print(y.grad_fn)
z = y * y
print(z.data)
print(z.grad_fn)
t = torch.mean(z) # 每个元素求和 / 元素个数
print(t.data)
t.backward()
print(z.grad)
print(y.grad)
print(x.grad)输出结果
tensor([[1., 1.],
[1., 1.]])
tensor([[3., 3.],
[3., 3.]])
<AddBackward0 object at 0x0000027485E81DC0>
tensor([[9., 9.],
[9., 9.]])
<MulBackward0 object at 0x0000027485E81DC0>
tensor(9.)
d:\Project\LearnPyTorch\sample01\02.py:18: UserWarning: The .grad attribute of a Tensor that is not a leaf Tensor is being accessed. Its .grad attribute won't be populated during autograd.backward(). If you indeed want the .grad field to be populated for a non-leaf Tensor, use .retain_grad() on the non-leaf Tensor. If you access the non-leaf Tensor by mistake, make sure you access the leaf Tensor instead. See github.com/pytorch/pytorch/pull/30531 for more informations. (Triggered internally at C:\actions-runner\_work\pytorch\pytorch\builder\windows\pytorch\build\aten\src\ATen/core/TensorBody.h:485.)
print(z.grad)
None
d:\Project\LearnPyTorch\sample01\02.py:19: UserWarning: The .grad attribute of a Tensor that is not a leaf Tensor is being accessed. Its .grad attribute won't be populated during autograd.backward(). If you indeed want the .grad field to be populated for a non-leaf Tensor, use .retain_grad() on the non-leaf Tensor. If you access the non-leaf Tensor by mistake, make sure you access the leaf Tensor instead. See github.com/pytorch/pytorch/pull/30531 for more informations. (Triggered internally at C:\actions-runner\_work\pytorch\pytorch\builder\windows\pytorch\build\aten\src\ATen/core/TensorBody.h:485.)
print(y.grad)
None
tensor([[1.5000, 1.5000],
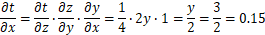
[1.5000, 1.5000]])计算过程

所以x的梯度是0.15,y和z不是叶子节点,没有梯度信息。
最后更新于11月前
本文由人工编写,AI优化,转载请注明原文地址: 使用PyTorch进行数学运算
推荐阅读
VMware Workstation 16激活码及许可证密钥获取方法
20582025-10-26
43种常见网络爬虫详解:功能解析与访问量统计指南
2112025-11-23
天地图429 Too Many Requests错误解决方案-配额升级与配置指南
4202025-11-25
使用vtk.js加载vtu格式(UnstructuredGrid)的文件
3462025-12-02
Windows系统PyTorch安装教程:CUDA 12.1环境配置与TorchText版本兼容性指南
22422025-10-08
谷歌Antigravity IDE:AI智能体驱动的软件开发平台详解
7242025-11-24
评论 (0)
发表评论
昵称:加载中...
暂无评论,快来发表第一条评论吧!